Funcionamiento de un tone stack fmv

toni diaz
por el 29/01/2018
Perdona que no comenté.... Es que estoy con la boca abierta :aplausos:
OFERTAS EN TIENDAS Ver todas
  • -13%
    Harley Benton Fusion-T HH Roasted FNT
    349 €
    Ver oferta
  • -13%
    Epiphone 1963 Firebird V Vibrola PW
    1.399 €
    Ver oferta
  • -14%
    Harley Benton SC-Custom III Quilt Midnight
    299 €
    Ver oferta
SEGUNDA MANO EN MERCASONIC Ver todo
  • JHS Morning Glory v4
    185 €
    Ver
  • Fulltone OCD 1.7
    160 €
    Ver
  • Tiger Shout distorsión tipo Mesa Boogie de Boutique ( Dr Boogie )
    140 €
    Ver
¿Tienes equipo que ya no usas? Véndelo en Mercasonic
Miguel
por el 29/01/2018
¡Gracias again!

Continuamos que tengo ya el cerebro hecho puré y cuanto antes termine menos meteduras de pata haré...

Hasta aquí hemos visto más o menos lo que hace cada pote de manera individual, pero se ve claro que los controles interactúan entre sí: lo que pasa en los agudos depende del pote B, lo que pasa en los bajos depende del pote M, etc.

Ahora hay que entender qué ocurre de manera “global”. He preparado unos dibujos que espero que ayuden a clarificarlo, porque a estas alturas la explicación del TONE STACK ya es bastante farragosa.

Supongamos que todos los potes son lineales, es decir, que si están al 25 % supone una gain del 25%, si están al 60% la gain serán del 60%, y si están a tope la gain es 1, es decir, no hay atenuación.

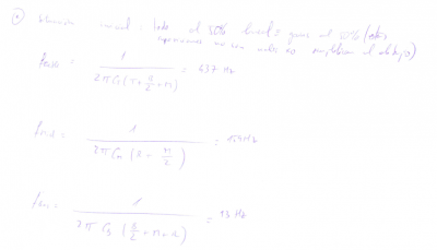
El punto de partida será tener todos los potes al 50%. En este caso los cálculos de las frecs de corte son estos
Archivos adjuntos ( para descargar)
adfgadfg.png
Miguel
por el 29/01/2018
Y gráficamente las 3 bandas de EQ serían así (bass a la izquierda en línea continua, middle en el centro con puntos, treble a la derecha en línea continua)
Archivos adjuntos ( para descargar)
adfgadfg.png
Miguel
por el 29/01/2018
Si ahora subimos o bajamos el treble al 75% (en verde) o al 25% (en rojo) el gráfico sería así, ya que no cambian las frecs de corte
Archivos adjuntos ( para descargar)
adfgadfg.png
Miguel
por el 29/01/2018
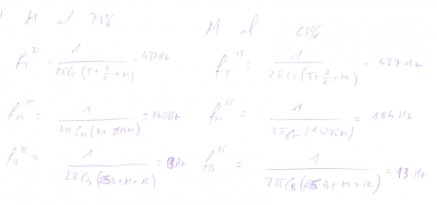
Si desde la situación inicial lo que movemos al 75% o al 25% es el control de medios, los cálculos serían estos
Archivos adjuntos ( para descargar)
adfgadfg.png
Miguel
por el 29/01/2018
Y el gráfico cambiaría a lo siguiente
Archivos adjuntos ( para descargar)
adfgadfg.png
Miguel
por el 29/01/2018
Es decir, vemos que subir M (en verde)

1. aumenta el ancho de banda de medios por la zona de su izquierda
2. aumenta la gain de medios
3. disminuye el ancho de banda de graves por la zona de su derecha

Análogamente, bajar M (en rojo)
1. disminuye el ancho de banda de medios por la zona de su izquierda
2. disminuye la gain de medios
3. aumenta el ancho de banda de graves por la zona de su derecha
Miguel
por el 29/01/2018
Por último, si desde la situación inicial lo que movemos al 75% o al 25% es el control de bajos, los cálculos serían estos
Archivos adjuntos ( para descargar)
adfgadfg.png
Miguel
por el 29/01/2018
Y el gráfico sería éste
Archivos adjuntos ( para descargar)
adfgadfg.png
Miguel
por el 29/01/2018
Es decir, vemos que subir B (en verde)
1. aumenta el ancho de banda de bajos por la zona de su izquierda
2. aumenta la gain de bajos
3. disminuye el ancho de banda de medios por la zona de su derecha
4. aumenta el ancho de banda de agudos por la zona de su izquierda

Y análogamente, bajar B (en rojo)
1. disminuye el ancho de banda de bajos por la zona de su izquierda
2. disminuye la gain de bajos
3. aumenta el ancho de banda de medios por la zona de su derecha
4. disminuye el ancho de banda de agudos por la zona de su izquierda
Miguel
por el 29/01/2018
Pues con esto se terminaría el análisis simplificado de un eq de tres bandas o tone stack FMV.

Como dije al inicio del hilo, esto es un análisis simplificado. La principal simplificación es que hemos supuesto que las frecuencias de corte son “abruptas”, es decir, que lo que pasa un filtro no se atenúa y que lo que no pasa un filtro no pasa en absoluto. La realidad es que en torno a la frecuencia de corte hay frecuencias por arriba y por abajo que se atenúan en mayor o menor medida, y que por tanto pueden pasar por varios filtros (agudos, medios o graves) a la vez.

Otra simplificación es suponer que los potes eran lineales, cuando en realidad hay algunos lineales y otros logarítmicos.

Otra simplificación es pensar que el punto de partida (aquel en el que los potes estaban al 50%) era plano, con una gain de 0,5 para las tres bandas.

Realizar un análisis detallado, sin tener en cuenta estas simplificaciones, es lo que se conoce como “análisis en frecuencia”, y consiste en estudiar la ganancia y el desfase para cada frecuencia, para cada posible configuración de los tres potenciómetros.

No entraré en mucho detalle, porque excede el propósito de este hilo, que es entender cómo funciona un tone stack cualitativamente, y no su precisión cuantitativa, pero para los interesados mañana pondré algunos pantallazos de un análisis de un tone stack igual al visto en estos posts realizados por Texas Instruments (sí, los de las calculadoras).

¡SALUDOS Y ROCK'N'ROLL!
Miguel
por el 30/01/2018
Buenos, vamos llegando al final del hilo...

El efecto del Treble según Texas Instruments es así (no sé si los valores del tone stack son los mismos que utilicé yo u otros, en cualquier caso lo que importa es la forma cualitativa...)
Archivos adjuntos ( para descargar)
aaa.png
Nuevo post

Regístrate o para poder postear en este hilo