Buenas, compañeros. Os traigo un éxito por todos conocidos, que a pesar de resultar algo cansino y de estar muy trillado, no deja de ser una gran canción con un gran arreglo musical y una horda de músicos estratosférica.
Me ha tocado prepararla con mi banda y he sacado el juego de acordes de oído, trabajando despacio sobre la canción y haciendo un guion que comparto con vosotros en esta misma publicación. Sobre ese guion juego con algunas variaciones, de la propia inversión del acorde y al final me dejo llevar un poquito. Aquí se trata de seguir bien el tempo y la armonía del tema, de integrarse bien con el resto de instrumentos y tratar de hacerlo bonito. A pesar de que casi instintivamente todos pensamos en la stratocaster para las rítmicas de música latina, lo cierto es que el guitarrista que grabó esta pieza (Dayan Abad, guitarrista actual de Ara Malikian) toca habitualmente con telecaster. Esta guitarra aporta un brillo seco y extra, que en mi opinión da mucho juego. Este guitarrista tiene un particular buen gusto para las rítmicas, se nota que es cubano; y es otro grande de los que se habla poco en la comunidad guitarrística.
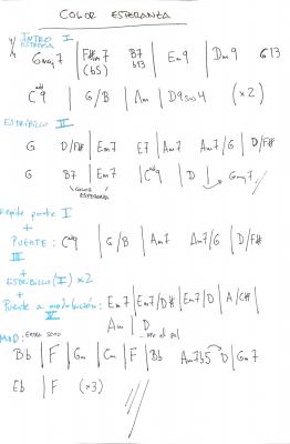
Aquí mi interpretación de este tema, arreglado para una sola guitarra (en la original hay dos pistas), mi guitarra la vais a oír paneada ligeramente a la derecha. Os dejo el esquema por aquí.
Me ha tocado prepararla con mi banda y he sacado el juego de acordes de oído, trabajando despacio sobre la canción y haciendo un guion que comparto con vosotros en esta misma publicación. Sobre ese guion juego con algunas variaciones, de la propia inversión del acorde y al final me dejo llevar un poquito. Aquí se trata de seguir bien el tempo y la armonía del tema, de integrarse bien con el resto de instrumentos y tratar de hacerlo bonito. A pesar de que casi instintivamente todos pensamos en la stratocaster para las rítmicas de música latina, lo cierto es que el guitarrista que grabó esta pieza (Dayan Abad, guitarrista actual de Ara Malikian) toca habitualmente con telecaster. Esta guitarra aporta un brillo seco y extra, que en mi opinión da mucho juego. Este guitarrista tiene un particular buen gusto para las rítmicas, se nota que es cubano; y es otro grande de los que se habla poco en la comunidad guitarrística.
Aquí mi interpretación de este tema, arreglado para una sola guitarra (en la original hay dos pistas), mi guitarra la vais a oír paneada ligeramente a la derecha. Os dejo el esquema por aquí.
8
Responder
Citar

he buscado el año en que se lanzó... Me parece que es una canción que no ha envejecido